合作客戶/
拜耳公司 |
同濟大學 |
聯合大學 |
美國保潔 |
美國強生 |
瑞士羅氏 |
相關新聞Info
推薦新聞Info
-
> 不同礦漿濃度、粒度、伴生礦物、捕收劑和起泡劑對礦漿表面張力的影響(三)
> 不同礦漿濃度、粒度、伴生礦物、捕收劑和起泡劑對礦漿表面張力的影響(二)
> 不同礦漿濃度、粒度、伴生礦物、捕收劑和起泡劑對礦漿表面張力的影響(一)
> 長慶油田隴東地區的CQZP-1助排劑表/界面張力測量及現場應用(三)
> 長慶油田隴東地區的CQZP-1助排劑表/界面張力測量及現場應用(二)
> 長慶油田隴東地區的CQZP-1助排劑表/界面張力測量及現場應用(一)
> 液膜斷裂點與電壓最大值在表面張力測量中的對比研究(二)
> 液膜斷裂點與電壓最大值在表面張力測量中的對比研究(一)
> ?表面張力與表面張力系數測量:概念、方法與科學意義
> 微重力下二極對非均勻旋轉磁場控制半浮區液橋表面張力對流的數值研究(下)
中性聚合物鍵合劑(NPBA)與奧克托今(HMX)界面張力測定及應用效果(三)
來源:兵工學報 瀏覽 1200 次 發布時間:2025-06-13
2.2 NPBA與HMX界面作用的實驗結果
2.2.1 NPBA與HMX的粘附功和界面張力
采用動態接觸角測試儀的Wilhelmy吊片法和Modified washburn法,分別測試了合成的3種NPBA和HMX在不同液體中的接觸角θ,結果見表3.
表3 NPBA和HMX在不同液體中的接觸角
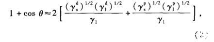
由表3中測試結果,應用Owens-Wendt-Rabel-Kaelble(OWRK)表面張力計算方法,分別擬合得到3種NPBA和HMX的表面張力γ、極性分量γp和非極性分量γd(結果見表4),計算公式如下:
表4 NPBA和HMX的表面張力
由表4中測試結果,計算得到3種NPBA分別與HMX之間的界面張力γAB為
計算得到3種NPBA分別與HMX之間的粘附功WAB.界面張力和粘附功計算結果見表5.
表5 NPBA與HMX之間的界面張力和粘附功
由表5可知,NPBA3與HMX的粘附功最大(113.34 mN/m),且界面張力最小(4.81 mN/m),表明3種NPBA中NPBA3與HMX的浸潤性(粘結性)最好,且外力破壞粘接界面需做的功(粘結強度)最大。與NPBA1相比,雖然NPBA2與HMX的粘附功相對較大(分別為75.06 mN/m和78.38 mN/m),但其界面張力相對也大(分別為21.51 mN/m和24.12 mN/m),表明NPBA2與HMX的粘結強度大于NPBA1,但浸潤性略弱。
從上述實驗結果可知,用—COOCH2CH2OH基團取代—COOCH3基團(用HEA取代MA鏈節),或增加—CN基團數量(增加AN鏈節),NPBA更容易吸附于HMX顆粒表面,增強了二者間的粘結性;同時,增加—CN基團數量,或用—COOCH3基團取代—COOCH2CH2OH基團,有利于NPBA在HMX顆粒表面浸潤和鋪展,增強了二者間的親和性。
2.2.2 NPBA對推進劑力學性能的影響
分別在-40℃、20℃、50℃溫度條件下,采用單向拉伸實驗得到了含與不含NPBA推進劑的最大拉伸強度σm和最大伸長率εm,其結果見表6.
由表6可知,加入NPBA后,推進劑的強度得到不同程度的提高,表明3種NPBA均有效吸附于HMX顆粒表面,并與固化劑發生交聯反應,從而顯著提高了推進劑的強度。3種NPBA中,NPBA3提高推進劑強度的程度最為顯著,NPBA2次之,NPBA1再次,與粘附功的大小次序一致。
此外,比較表6中的伸長率數據可知,相對于NPBA1和NPBA3,—OH基團數量最多的NPBA2提高推進劑伸長率的程度最小,原因可能是—OH基團數量過多導致鍵合劑與粘結劑過度交聯,反而對推進劑的伸長率造成不利影響。
表6 NPBA對推進劑力學性能的影響
上述實驗結果與2.1節中模擬結果相符,結合能與粘附功之間存在對應關系,即NPBA與HMX的結合能越大其粘結性能越好,增加推進劑強度的效果越好。
3結論
1)HMX與NPBA界面原子間存在近程、遠程范德華力和氫鍵作用力,這些作用力的強弱與—CN基團的數量、—COOCH2CH2OH基團的數量及其空間位阻作用有關。
2)NPBA與HMX的粘附功與結合能之間存在對應關系,即二者間的粘附功越大其結合能越大;用—COOCH2CH2OH基團取代—COOCH3基團,或增加—CN基團數量,整體上增強了NPBA與HMX晶體的界面作用力,使復合體系結合能增加,推進劑強度增大。
3)本文采用的MD模擬方法對于研究NPBA與HMX之間的界面作用具有較高的準確度,可用于指導NPBA分子設計。





