合作客戶/
拜耳公司 |
同濟大學 |
聯合大學 |
美國保潔 |
美國強生 |
瑞士羅氏 |
相關新聞Info
推薦新聞Info
-
> 不同礦漿濃度、粒度、伴生礦物、捕收劑和起泡劑對礦漿表面張力的影響(三)
> 不同礦漿濃度、粒度、伴生礦物、捕收劑和起泡劑對礦漿表面張力的影響(二)
> 不同礦漿濃度、粒度、伴生礦物、捕收劑和起泡劑對礦漿表面張力的影響(一)
> 長慶油田隴東地區的CQZP-1助排劑表/界面張力測量及現場應用(三)
> 長慶油田隴東地區的CQZP-1助排劑表/界面張力測量及現場應用(二)
> 長慶油田隴東地區的CQZP-1助排劑表/界面張力測量及現場應用(一)
> 液膜斷裂點與電壓最大值在表面張力測量中的對比研究(二)
> 液膜斷裂點與電壓最大值在表面張力測量中的對比研究(一)
> ?表面張力與表面張力系數測量:概念、方法與科學意義
> 微重力下二極對非均勻旋轉磁場控制半浮區液橋表面張力對流的數值研究(下)
氣-水界面脂質單分子層結構域間的偶極相互作用【上】
來源:上海謂載 瀏覽 2249 次 發布時間:2022-07-11
多種生物相關單分子膜呈現相共存,其特征是由分散在連續無序相中的有序相態脂質形成的域。由于這些相之間表面密度的差異,產生了疇間偶極相互作用。這些相互作用與域的空間分布及其動力學的確定有關。在這項工作中,我們提出了一種使用被動方法估計偶極斥力的新方法,該方法涉及分析具有相位共存的單層的圖像。該方法基于實驗獲得的配對相關函數與模型系統布朗動力學模擬獲得的配對相關函數的比較。作為一個例子,我們通過分析磁疇的徑向分布來確定DSPC/DMPC二元單層在空氣-水界面上的偶極密度差異,并將結果與通過表面電位測定獲得的結果進行比較。對實驗相關參數范圍進行了系統分析,該參數范圍可作為獲得不同系統中偶極斥力的工作曲線。
1、引言
在不同的生物膜中,經常觀察到相共存,這取決于膜和水組成、溫度和膜的特定模型(朗繆爾單分子膜、支撐膜、獨立雙層,例如巨大的單層囊泡或黑色脂膜等)。當致密相不是連續相時,觀察到域(某些脂質成分稱為筏)在更流動的相中移動。這些結構域相互作用1-4,這些相互作用影響其自身的運動4,5以及膜中其他物種的運動。6,7
疇間相互作用可能與靜電力(偶極或庫侖斥力)有關,這些靜電力與共存相的自發曲率和疇運動時出現的水動力有關。這些力阻礙了結構域的聚合,并在長時間尺度上調節膜中物種的可用性及其動力學。偶極斥力總是存在的,因為形成膜的分子是有序的和偶極的。庫侖力出現在帶電疇中,而當共存相的自發曲率明顯不同時,曲率效應很重要,對于具有高線張力的大疇。3.
偶極斥力可以通過界面上組織的表面活性劑的偶極密度差來估計,包括極性頭基團區域中水合水的貢獻。8測定均勻膜的平均偶極矩(分子+水合水)值的一種常用方法是測定空氣-水界面處朗繆爾單分子膜的表面電位。9-11或者,在雙層膜中使用了對局部電位敏感的探針,以及電導測量。12因此,如果共存相的組成已知,則具有每個相組成的單層或雙層的偶極電勢可以估計每個相的偶極密度,從而估計它們之間的差異。
然而,共存相的組成并不總是容易獲得,尤其是對于含有兩個以上組分的系統,因此不可能通過偶極電位測量來估計偶極密度的差異。此外,當單組分膜的相變形成疇時,在相同的溫度和分子密度下估計每個相的偶極電勢并不簡單。
結構域的存在是不同模型膜以及哺乳動物(假定大小為納米)、13酵母、真菌和植物(半徑在微米范圍內)的質膜中的一個共同特征。14,15在這些自然系統中,膜的組成非常復雜,因此不可能知道域的精確組成,因此也無法從偶極電位測量中估計偶極密度的差異。
確定相共存單分子膜中偶極斥力的其他替代方法基于對疇平衡尺寸分布的分析。16,17 Mulder16提出的方法通過高斯近似精確的尺寸分布,并使用簡化的理論分析,其中近似處理域間相互作用。另一方面,Lee等人17通過用平衡熱力學表達式擬合尺寸分布,獲得了過量偶極密度。他們的方案假設域之間沒有相互作用,因此對于充分稀釋的域是有效的。
在這項工作中,我們提出了一種使用被動方法估計偶極斥力的新方法,該方法涉及分析具有相位共存的單層的圖像。我們利用了一個事實,即域之間的偶極斥力促進了域的二維空間排列,其中平均域-域距離最大。因此,斥力將誘導疇分布,從而導致液體系統的徑向分布函數特性。18該方法基于將從實驗中獲得的配對相關函數與模型系統的布朗動力學模擬進行比較。作為一個例子,我們通過分析磁疇的徑向分布來確定DSPC/DMPC二元單層在空氣-水界面上的偶極密度差異,并將結果與通過表面電位測定獲得的結果進行比較。
2、實驗部分
混合二硬脂酰磷脂酰膽堿(DSPC)和二吡啶酰磷脂酰膽堿(DMPC)單分子膜具有廣泛的組成和側壓力,其中它們表現出兩相液凝(LC)和液脹(LE)共存區域。在室溫下,混合單分子膜顯示分散在LE連續相中的LC微米級疇,側壓為10 mN m-1,DSPC的組成高于24 mol%。5.
我們使用熒光顯微鏡拍攝了不同DSPC濃度下混合單分子膜的顯微照片。我們使用DSPC、DMPC和親脂性熒光探針L-R-磷脂酰乙醇胺-N-(賴氨酸羅丹明B磺酰基)銨鹽(雞蛋,反式磷脂酰化)(Rho-PE)進行了實驗,該探針購自Avanti Polar Lipses(Alabaster,AL)。用于亞相的水來自Milli-Q系統(微孔),電阻率為18 MO-cm,表面張力為72 mN m-1。
熒光探針(Rho-PE)在以1 mol%或更低的濃度擴散之前被并入脂質溶液中。在純凈水亞相的朗繆爾槽(微槽XS,Kibron-Finnland)中形成單層。將脂質混合物溶解在氯仿:甲醇(2:1)中,以獲得1 nmol ml 1的溶液,將其攤鋪在水表面。我們在室溫T=(20±1)1C下進行實驗,并將薄膜壓縮至側向壓力p=(10±1)mN m-1,使用Wilhelmy方法測定Pt板。
在將脂質層攤鋪在提升1.5倍的區域后,將亞相水平降低到約3 mm的厚度,以最小化對流。朗繆爾天平放置在倒置顯微鏡(Axiovert 200,蔡司)的工作臺上,該顯微鏡配有CCD IxonEM+型號DU-897(和或技術)攝像機、100物鏡、連續固態激光器(TEM00,532 nm至200 mW,Roithner Lasertech)和羅丹明發射濾波器。熒光探針優先在LE相上分配,因此在凝聚相中由脂質形成的區域在圖像中看起來更暗。
使用KSV NIMA表面電位傳感器(芬蘭赫爾辛基),采用振動板法測定朗繆爾單分子膜中的表面電位。薄膜是用純DSPC(凝聚態的成分5)或含有24 mol%DSPC(膨脹相的成分5)的DSPC和DMPC的混合物制備的。
2.1、圖像分析和徑向分布函數
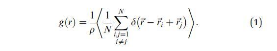
表征單層結構的一個關鍵量是徑向分布函數g(r)。考慮到單層平面中域的均勻分布,g(r)表示在選擇為參考點的另一個域的距離r處找到域的概率:
這里,r=N/A是數密度,N是域數,A是總單層面積,d(-r)是狄拉克δ函數,角括號表示平衡系綜平均值。
從顯微照片中,我們計算了凝聚面積分數f,定義為域占單層面積的面積比。為此,我們確定了每個相位的數量,使用圖像處理軟件ImageJ將原始灰度圖像轉換為黑白圖像。19然后,確定黑色區域占用的總面積,該面積對應于域占用的面積。
為了處理圖像,我們使用帶通濾波器去除了圖像中的輕微不均勻照明(由于激光束輪廓的強度分布)。然后,我們選擇一個特定的灰度級別,強度高于該閾值的所有像素被轉換為“白色”,而強度低于該閾值的像素被轉換為“黑色”。閾值水平的值是根據結構的最佳分辨率,通過與原始照片進行恒定的眼睛比較來確定的。閾值必須仔細選擇,因為它確定了f.4的主要誤差源。不同的閾值會改變域的大小;因此,g(r)的確定不會受到顯著影響,因為它僅取決于域中心的位置。然而,選擇低閾值可能導致低估域的數量,因為最小的域(域面積小于4像素)看起來比較大的域輕。因此,選擇閾值是為了使域總數的修改不超過10%。
我們計算每個單層的徑向分布函數,作為域中心到中心距離r的直方圖。對于每種情況,使用1000微圖左右的數字,大小為122122 mm2,并選擇0.5 px(0.12 mm)的分塊。該尺寸大于r中的誤差,Dr=0.3 px(0.07 mm),并且足夠小,可以獲得特征良好的曲線。g(r)的誤差是使用標準差為r的每個值獨立計算的。
2.2、模擬
我們考慮在其兩相LC和LE共存區域中的單分子膜,其中LC相在LE相中形成域,占據單分子膜的較大面積。由于表面密度的差異,LC疇相對于周圍的LE相具有過量的偶極密度。20這源于域之間的偶極排斥相互作用。通常在DSPC–DMPC單分子膜中,結構域呈現近似圓形。
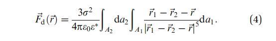
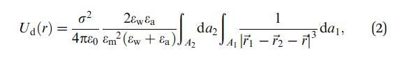
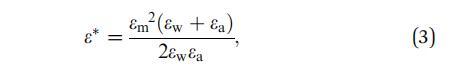
我們將混合單分子膜建模為均勻層,介電常數em位于兩個不同的半無限介質(空氣和水)之間。該層由有效偶極密度s垂直于界面的單分散圓形磁疇組成。在該模型中,兩個磁疇之間產生的偶極對電勢Ud可以用以下公式描述:
其中Ai表示域i的面積,dai表示其面積元素,-ri表示其相對于域中心的位置向量,i=1,2-r是從域1中心到域2中心的向量,如圖1所示。e0是真空介電常數,ew和ea分別是水和空氣的相對介電常數。在這里,我們使用了Urbakh等人21的研究結果,該研究描述了由兩個半無限介質包圍的薄電介質層中偶極子之間的相互作用。
注意,在定義
相互作用勢Ud相當于浸入具有有效介電常數e*的均勻介質中的兩個磁疇的相互作用勢Ud。
圖1具有中心到中心距離R的兩個等半徑R和多余偶極密度s的域。
由該勢導出的作用在域1上的力為
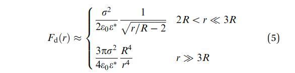
該力沿中心線分布,其大小僅取決于域之間的距離r。Fd(r)沒有解析表達式,因此必須進行數值計算。然而,對于單分散系統的特殊情況(所有域半徑等于R),Wurlitzer等人22發現該力的漸近行為為:

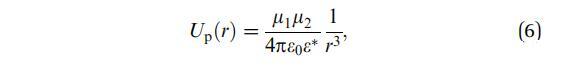
正如預期的那樣,對于較大距離,它減少到兩點偶極子r 4的力。這些表達式不描述實驗相關區間(2+0.1)R 10R內的域之間的相互作用,因此必須對等式(4)進行數值積分。與解析表達式相比,該4D積分在模擬中代表了更多的計算工作量。這就是為什么更容易近似磁疇中心點偶極子的相互作用,偶極矩mi表示磁疇區域上的偶極密度,mi=sAi。然后,垂直于界面的點偶極子的對電勢為
域1上的相應力為
其中,?r是(?r=-r/r)在-r方向上的酉向量。為了方便起見,我們定義了
表征力Fd和Fp強度的量。
圖2顯示了兩個半徑相等的圓形區域的Fd(r)(實線)和Fp(r)(虛線)。疊加在等式(4)的數值解上,我們添加了等式(5)(虛線)的短距離的漸近表達式。注意,當兩個域接近接觸(r=2R)時,Fd發散,而Fp保持有限。此外,對于實驗感興趣的范圍2R o r o 10R,兩個力之間的差異是可觀的。特別是,即使r=5R,差值也在15%左右。
點偶極近似在短距離和中間距離偏離偶極密度力。因此,用兩種方案獲得的單層膜的結構特性有顯著差異。
我們將混合單層建模為浸入有效流體中的等半徑(單分散)相互作用硬盤的二維布朗懸浮液,每個硬盤代表一個理想的脂質域。域間相互作用由等式(2)加上硬核排斥部分給出的全偶極密度對勢來描述。同樣的系統也使用點偶極子勢方程(6)進行了研究,以分析這種更容易實現的近似的有效性。
圖2以相互作用強度f0為單位,具有相同半徑R的兩個域的偶極相互作用力Fd和點偶極近似力Fp是邊界到邊界分離R/R 2的函數。文中還給出了有限差分在短距離下的漸近表達式。
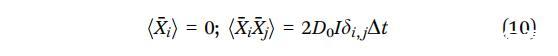
為了研究這兩種混合單層模型的靜態特性,我們進行了布朗動力學(BD)模擬。在該格式中,描述在時間步長Dt期間浸入流體中的N個相同布朗盤的平面內位移的有限差分方程由23給出
其中,FPj是由于所有其他N 1圓盤作用在圓盤j上的直接總力,D0是圓盤擴散系數,kB是玻爾茲曼常數,T是溫度,%Xi是源于溶劑-粒子碰撞的粒子i的隨機位移矢量。%Xi從具有零均值和協方差矩陣的高斯分布中采樣:
其中I是單位矩陣,di,j是克羅內克三角洲。
預先計算了域間偶極密度力eqn(4),并將這些值制成表格,供以后在模擬中使用。方程(4)中的4d積分使用蒙特卡洛算法計算2.003 o r/r o 22,并且在該范圍外使用漸近線的解析表達式,方程(5)。
在周期邊界條件下,使用最小鏡像約定,模擬系統由半徑為R的N個磁盤組成。模擬框L的大小使用冷凝面積分數f=NpR2/L2的表達式確定。
在我們的模擬中,我們使用由單層顯微照片確定的f,N=144個圓盤,Dt=210 4R2/D0。系統地改變確定系統的剩余參數f0,以找到與實驗g(r)的最佳一致性。
我們驗證了,對于所研究的系統,結構量中不存在系統大小依賴性。通過與2D系統上已發布的模擬數據進行比較,針對具體示例測試了我們的BD模擬方法的準確性。24





