合作客戶/
拜耳公司 |
同濟大學 |
聯合大學 |
美國保潔 |
美國強生 |
瑞士羅氏 |
相關新聞Info
推薦新聞Info
-
> 不同礦漿濃度、粒度、伴生礦物、捕收劑和起泡劑對礦漿表面張力的影響(三)
> 不同礦漿濃度、粒度、伴生礦物、捕收劑和起泡劑對礦漿表面張力的影響(二)
> 不同礦漿濃度、粒度、伴生礦物、捕收劑和起泡劑對礦漿表面張力的影響(一)
> 長慶油田隴東地區的CQZP-1助排劑表/界面張力測量及現場應用(三)
> 長慶油田隴東地區的CQZP-1助排劑表/界面張力測量及現場應用(二)
> 長慶油田隴東地區的CQZP-1助排劑表/界面張力測量及現場應用(一)
> 液膜斷裂點與電壓最大值在表面張力測量中的對比研究(二)
> 液膜斷裂點與電壓最大值在表面張力測量中的對比研究(一)
> ?表面張力與表面張力系數測量:概念、方法與科學意義
> 微重力下二極對非均勻旋轉磁場控制半浮區液橋表面張力對流的數值研究(下)
探索泡沫粗化與表面流變學之間的關聯性疏水性蛋白——材料和方法
來源:上海謂載 瀏覽 1977 次 發布時間:2021-11-25
材料和方法
材料
HFBII疏水蛋白(Mw=7200 Da)從芬蘭VTT生物技術公司獲得,并如其他地方所述從里氏木霉中提取。28,29含有20 mM醋酸緩沖液的5 mg ml 1 HFBII溶液在小瓶中冷凍。 在實驗前不久,將小瓶內容物解凍,用微孔水稀釋5*并進行短暫的超聲波處理,以打破可使樣品渾濁的自組裝結構。
純b-lg和b-酪蛋白購自Sigma chemicals(德國施奈爾多夫)。 Quillaja皂甙粉末來自沙漠之王(智利圣地亞哥)。 黃原膠(冷分散Keltrol RD)購自CP Kelco(比利時貝林根)。
方法
泡沫制備和穩定性評估。 通過向50 g脫氣水中添加所需量的材料制備發泡劑溶液。 另外,以類似方式制備0.5 wt%黃原膠溶液,該溶液不含溶解過程中形成的氣泡。 將溶液在20℃下輕輕混合30分鐘。 隨后,使用手持式Aero latte微型混合器(英國Radlett)對發泡劑溶液進行充氣,該混合器連接至4.5 V的恒定電源。獲得約200 ml的恒定端體積,形成約0.75的氣相體積。 制備完成后,將該相對干燥的泡沫與黃原膠溶液輕輕混合,以將氣相體積調節至0.5。 在該相體積分數下,氣泡體積低于緊密堆積30,從而將聚結的可能性降至最低。 最后,黃原膠引起的體積屈服應力可防止氣泡在與此處提供的實驗相關的時間內形成奶油狀。31通過抑制奶油狀和聚結,可使用濁度測量來測量歧化率。
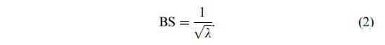
隨時間變化的氣泡尺寸演變。 使用濁度掃描實驗室專家(法國圖盧茲Formulaction)及時通過濁度法研究20 ml泡沫的樣品體積。 我們解釋了沿泡沫樣品高度的平均后向散射,不包括頂部和底部部分,其中后向散射受邊緣效應影響。 后向散射(BS)與穿過樣品的光的傳輸平均自由程(l)有關
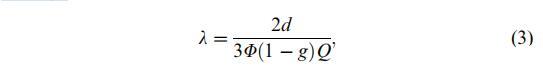
反過來,光的傳輸平均自由程與穿過的氣泡的平均直徑(d)和體積分數(F)有關
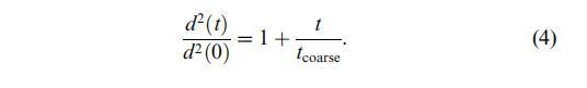
其中g和Q是Mie理論給出的光學常數。 在本研究中,我們將僅限于解釋平均氣泡直徑隨時間的變化,其表示為相對直徑d(t)/d(0)。 粗化時間tcoarse由該模型確定
用朗繆爾槽測量小變形和大變形膨脹流變學。 對于空氣/水表面的表面膨脹流變學實驗,我們使用了Kibron公司(芬蘭埃斯波)生產的MicroTroughX Langmuir槽。 槽的表面積為11×800平方毫米,其亞相體積約為15 mL。使用超靈敏的KiBron傳感器、小直徑(0.51 mm)的特殊合金絲在槽的中部測量表面張力。 靈敏度優于0.01mnm-1。
通過使用10 ml Hamilton注射器沿表面逐滴均勻分布所需量的溶液來制備鋪展層。 壓縮前,將該層保持平衡15分鐘。 隨后,以5 mm min 1的屏障速度將表面壓縮至30 mN min 1的表面壓力或2000 mm2的最小面積,然后以相同速度將其松弛,恢復至約零壓力。 溫度為20℃。
使用內部開發的軟件工具計算膨脹模量。 該工具首先通過使用N階切比雪夫多項式對測量的P–A曲線進行分割和平滑來減少數據和噪聲。 然后使用解析樣條導數表達式數值計算模量,使我們能夠計算沿實驗P–A曲線的任意點處的膨脹模量。
使用橢偏儀測量表面吸附。 使用Multiskop橢偏儀裝置(Multiskop,Optrel,德國)對朗繆爾槽中的吸附層進行表征。 該儀器的全部細節可在別處找到。32
橢偏儀是一種研究表面和薄膜的技術,其基礎是利用偏振光束從界面或薄膜反射或透射時發生的偏振變換。33在橢偏儀中,測量兩個量J和D, 式中,J是角,其切線是全反射系數大小的比率,由下式給出:

其中| Rp |和| Rs |是p(平行)和s(垂直)偏振光的出射波振幅與入射波振幅之比。 j的值可以在0到90°之間。 有關所討論樣品的信息包含在全反射系數或Rp和Rs中。橢偏角 ? 描述反射時發生的相位差變化。 其值可以在零和360°之間變化。
橢偏測量的基本方程是
式中ρ=Rp/Rs。現在可以使用de Feijter方程34確定吸附量

式中,nf是薄膜折射率,n0是介質折射率,dn/dc是折射率增量,df是薄膜厚度,由適當的D/J軌跡導出。 在分析中,我們使用了nf=1.4和dn/dc=0.18 ml g 1,這在之前用于b-lg.35
表面剪切流變學(SSR)測量。 使用Anton Paar Physica MCR 300流變儀測定空氣-水表面的界面剪切剛度,該流變儀配備雙錐幾何結構,精確放置在空氣和蛋白質或表面活性劑溶液之間的界面。36吸附系統老化1小時后, 在0.001至1 Hz的頻率范圍內,在0.2%的應變下施加振蕩剪切變形。
探索泡沫粗化與表面流變學之間的關聯性疏水性蛋白——摘要、介紹
探索泡沫粗化與表面流變學之間的關聯性疏水性蛋白——材料和方法
探索泡沫粗化與表面流變學之間的關聯性疏水性蛋白——結果和討論
探索泡沫粗化與表面流變學之間的關聯性疏水性蛋白——結論、致謝!





